6. Aufgabe. Ausführlicher Lösungsweg
Scrollen Sie im Fenster nach unten oder ziehen Sie das Fenster weiter nach unten auf, um Schritt für Schritt
kontrollieren zu können, ob Sie den richtigen Lösungsweg
eingeschlagen und beibehalten haben. Achten Sie darauf, dass Sie sich
nicht zu viel anzeigen lassen. Sie müssen erst versuchen selbst
auf den nächsten Schritt der Umformung zu kommen. Ohne Training können Sie
ihr Wissen nicht anwenden.

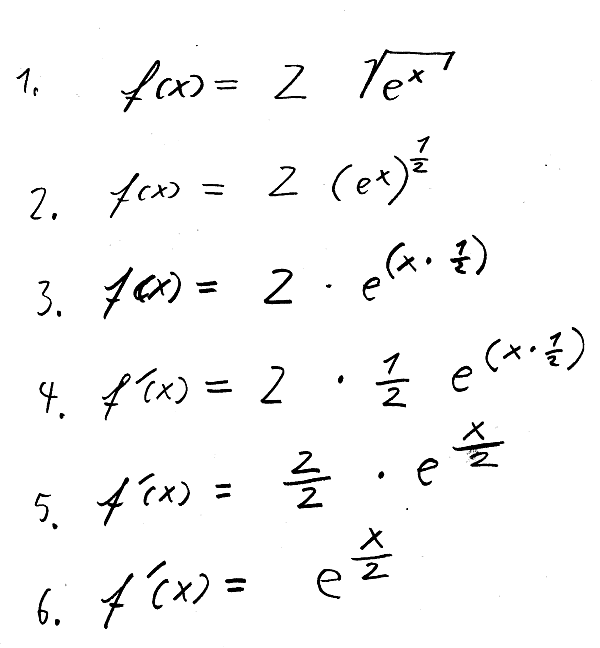
Fast wie bei der vorangegangen Aufgabe. Dessen Ergebnis muss nur mit 2
multipliziert werden. Wie immer versuchen wir die Wurzelzeichen durch
durch eine andere
Schreibweise zu beseitigen. Hochzahlen können wir miteinander
multiplizieren, wie es in der dritten Zeile vorgenommen wurde.
Dann ist der übliche Rechenweg einzuschlagen.