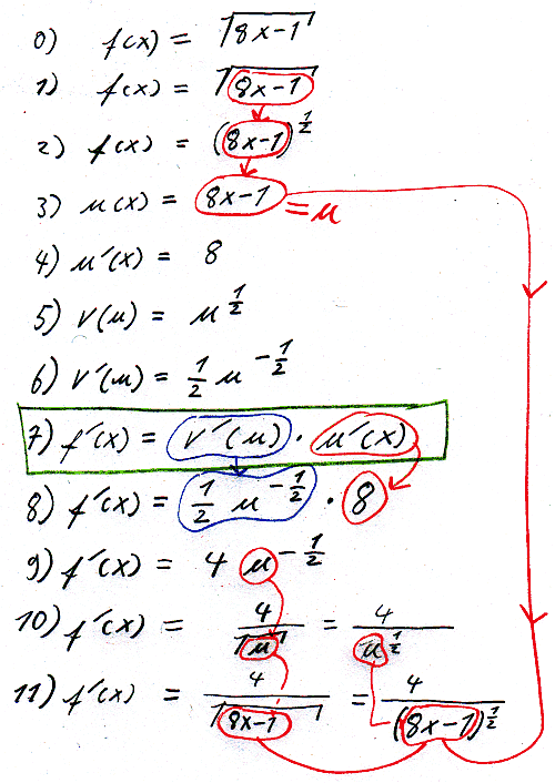
4. Aufgabe. Ausführlicher Lösungsweg
Scrollen Sie im Fenster nach unten oder ziehen Sie das Fenster weiter nach unten auf, um Schritt für Schritt
kontrollieren zu können, ob Sie den richtigen Lösungsweg
eingeschlagen und beibehalten haben. Achten Sie darauf, dass Sie sich
nicht zu viel anzeigen lassen. Sie müssen erst versuchen selbst
auf den nächsten Schritt der Umformung zu kommen. Ohne Training können Sie
ihr Wissen nicht anwenden.
Versuchen Sie die Aufgabe mit Hilfe der Kettenregel Schritt für
Schritt für Schritt zu lösen.

Tipps:
0. Zeile: Die Aufgabe. Beseitigen Sie durch Umformung wie üblich das Wurzelzeichen
1. Zeile: Die innere Funktion wurde rot gekennzeichnet.
2. Zeile: Die innere Funktion steht in Klammern.