2. Aufgabe. Ausführlicher Lösungsweg
Scrollen Sie im Fenster nach unten oder ziehen Sie das Fenster weiter nach unten auf, um Schritt für Schritt
kontrollieren zu können, ob Sie den richtigen Lösungsweg
eingeschlagen und beibehalten haben. Achten Sie darauf, dass Sie sich
nicht zu viel anzeigen lassen. Sie müssen erst versuchen selbst
auf den nächsten Schritt der Umformung kommen. Ohne Training können Sie
ihr Wissen nicht anwenden.

Vorgehensweise und Kommentare Zeile für Zeile:
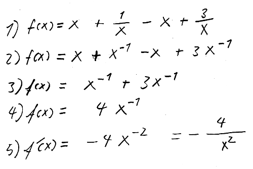
1) Das ist die Aufgabe.
2) Alle Bruchstriche wurden durch Umformung entfernt.
3) Ich muss nicht Summand für Summand differenzieren, da die x zusammengefasst werden können
4) ein Summand bleibt übrig
5) Die Lösung in zwei verschiedenen Schreibweisen.