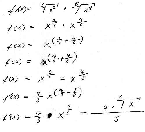
5. Aufgabe: Ausführlicher Lösungsweg für das Ableiten der Funktion f(x) = 3√x2 * 6√x4
Scrollen Sie im Fenster nach unten oder ziehen Sie das Fenster weiter nach unten auf, um Schritt für Schritt
kontrollieren zu können, ob Sie den richtigen Lösungsweg
eingeschlagen und beibehalten haben. Achten Sie darauf, dass Sie sich
nicht zu viel anzeigen lassen. Sie müssen erst versuchen selbst
auf den nächsten Schritt der Umformung kommen. Ohne Training können Sie
ihr Wissen nicht anwenden.

Die Aufgabe wurde nach folgender Methode gelöst:
1. Falls ein Wurzelzeichen vorkommt, wird der mathematische Ausdruck so umgewandelt, dass das Wurzelzeichen
verschwindet.
2a. Die beiden Potenzen mit x als Basis zusammenfassan, so dass x nur einmal im Ausdruck vorkommt.
2. Sollte das x unterhalb eines
Bruchstriches stehen, dann ist darauf zu achten, dass das x immer
oberhalb des Bruchstrisches steht, mit anderen Worten nicht im Nenner
Das x können wir duch Umformung aus dem Nenner entfernen.
Beispiele:
f(x) = 1/x = x-1
Noch ein Beispiel:
f(x) = 1/(x(-2/3) = x(2/3)
Wenn 1. die Wurzeln weg sind und 2. kein x mehr im Nenner steht, dann
können Sie wie gewohnt die Potenzregel für die Ableitung
verwenden:
f(x) = xn
f´(x) = n
x(n - 1)